I am writing this because I need to revise my view of the universe after reading some books in the spring of 2024 that I bought at an airport.
After watching a program with Carl Sagan where he describes individuals living in fewer dimensions than exist in the universe. This program aired on TV in the early 80s, I believe.
The image I had of our universe then consisted of 4 dimensions. Three spatial dimensions that we could travel in and one time dimension that we could not travel in. The result was a ball in 4 dimensions, where we lived on the surface of the ball. The surface was then 3 dimensions. When I learned that the universe was growing in size, I thought that explained why we couldn't travel in time. Time is the difference between the positions that arise as the balloon grows. And this explains why we can't travel in time. Because we are bound to the shell of the balloon. We can't go into the balloon, and we can't leave the balloon like a spaceship leaves our planet. When I understood that there were black holes and that gravity makes time go slower, gravity became, in my view of the universe, depressions in the balloon's surface. That is, the increase in the size of the universe went slower where there was gravity. The heavier an object was, the greater the depression in time.
Time and motion were something I didn't understand. And still don't, I must add. But if time is relative, which we evidently know, what is time then? If you go faster, time goes slower. I tried to remove time. But if time doesn't exist, we can't move, I thought. They are very connected in our perception. Maybe we don't move. For example, if you watch a movie on TV. In the movie, there is an individual running from one side of the screen to the other. We perceive a movement. But no physical movement occurs. The TV set remains in the same place. Nothing in the TV has moved. The only thing is that the pixels have blinked in the right order and thus moved the man from one side to the other. My view was that maybe we don't move but blink forward. Movement is an illusion. But I was never satisfied with my perception.
After the this spring/summer when I read 4 books that try to explain our universe, especially the book "The Hidden Reality" by Brian Greene, my view of the universe collapsed.
I have now started to build a new view of the universe with the claims that the authors write about.
The new thing I now understand is string theory. Schrödinger said that everything is wave motions. String theory has concluded that we live in a world with 10 or 11 dimensions. And that the universe is probably flat.
First, a thought experiment à la Sagan (see the video).
But instead of individuals living in a 2-dimensional world, which in reality is 3 dimensions, we try to understand how individuals who only perceive 1 dimension but live in a world with 3 dimensions would see it. An example is to imagine the usual figure with 3 axes, X, Y, and Z. Then maybe the individual lives along one of the axes. The individual cannot communicate in any other direction than just forward and backward along that line. But just above or below runs a parallel line. It is a completely different universe. Then there are universes parallel to the X-axis and Y-axis. Simply infinitely many universes. But one might think that where these lines intersect, the different universes should be able to perceive each other. But no. Because the individuals share an infinitely small point between the different universes. And the individuals cannot understand anything other than forward and backward, so they will not understand anything else.

What all authors write is that there are dimensions so small that we cannot see them. The text always includes an image of a tightrope walker who can only move forward or backward. But then they show how an ant can crawl around the rope in 3 dimensions. What do they mean by this? Here is how I interpret it. First, we must define a length so small that it does not exist. Physicists use a Planck length for this. An incredibly small length, considered the smallest measure of length. If we go back to our universe, which consisted of 3 dimensions, but the individual only experiences one dimension. My view of this is that individuals living in a world along the Y-axis will live in a 3-dimensional world but only perceive forward and backward along the Y-axis. They cannot see or understand the other dimensions because they are so small. Then there are infinitely many worlds along the X- and Z-axes that intersect the Y-axis. But since the intersection is only a Planck length, the individuals will not notice this. The individuals themselves are significantly longer than a Planck length, and if the individuals were to pass through a point simultaneously, they would pass through each other without noticing each other. This would probably happen all the time.
But then you can see this in a completely different way, which I will explain now. Imagine a ball, and on this 3-dimensional ball live individuals who only understand one dimension. And they are trapped in a 2-dimensional world. To see this, you must imagine that there is a line, a track, that winds its way across the surface of the ball. This track is a Planck length wide and a Planck length high. The track covers the entire surface, drawn so that it does not cross itself. In the previous case, the individual was locked in one dimension. In this case, the individual is not locked to one dimension. They travel in 3 dimensions, but is confined to the surface of the ball.

The path of an individual that only understand one dimension. The black shows that the track is wide, but can not be understood.
Then there is another track that covers the surface of the ball. This track also does not cross its own path but intersects the first track all the time. Here, too, we can see parallel worlds that will not be perceived by the different individuals in the different worlds. In this case, the length of the individual's world will be greater than the surface of the ball. The surface is calculated with 4*pi*r^2. That surface is the same as the length L * the width of the track. If the width is a Planck length, L will be as large as the surface divided by almost 0. This means that L is almost infinitely large. This means that the 1-dimensional individual perceives the universe as infinitely large. Every curve or bend in the individual's path will not be perceived. Instead, the world will be perceived as perfectly straight. It sounds strange, but if you think that the individual does not understand up/down or right/left, it becomes clearer.
Certain Rules Emerged for Me:
Some Definitions
Free Universe: A universe where the individual/particle can perceive all dimensions.
Poor Universe: A universe where the individual/particle cannot perceive all dimensions. Different particles can have different levels of a poor universe within a free universe.
Proposition 1: In a poor universe, the individual cannot always travel the shortest path between two points in the free universe.
This means that individuals/particles living in a free or less poor universe can travel in more directions and will not be understood by those living in an illusion of fewer dimensions. The only thing the individual can do is calculate a probability of its (the particles that can travel in more real directions) position.
Example: Electrons in our universe probably live in a less poor universe and cannot be understood by us without being calculated with probability.
Proposition 2: In a poor universe, certain dimensions must be hidden from the individual.
Example:
That is, the individual who sees one dimension in their universe, which in reality consists of three dimensions, does not perceive that there is a width or depth in their path. Suppose this width/depth is as small as a Planck length.
Assuming the hidden dimensions can be divided into:
Hidden: Dimensions that the individual cannot travel in themselves. Time?
Restrictive: A restriction in the world that can be perceived as a dimension that the individual cannot travel in themselves. The surface of the ball
Invisible: Dimensions that the individual can travel in but not always in the way they think they do.
Example: If we take the example of the individual living on the surface of a sphere in a three-dimensional world but perceiving only one dimension, the restrictive dimension is the ability to leave the surface of the sphere. The invisible dimensions are the two dimensions that define the surface of the sphere.
That the individual moves in all three dimensions every time they move has nothing to do with the restrictive or invisible dimensions. Instead, these are more an understanding from the individual's perception.
Proposition 3: A curved poor universe is perceived as flat. Or a flat poor universe does not need to be a free flat universe.
If we take the example of the individual who believes they live in one dimension but lives in three dimensions on the surface of a sphere. Since the individual does not understand two dimensions and absolutely not three dimensions, the curvature of space on the surface of the sphere should not be perceived by the individual. Even if the individual tries to measure a curvature, the result will be as if the world is flat. To see a curvature in our universe, it is not enough to measure in nine dimensions but also to include the tenth dimension.
Example: If the thickness in two dimensions is x, and it is the hidden dimension, it will approach zero, and then the blue surface will be perceived as a straight line. Since a and b are perceived as equally long.

Proposition 4: If a free universe expands, a poor universe (with invisible dimensions) accelerates, even if the speed does not accelerate in the free universe it belongs to.
A poor universe can be perceived as increasing in size with acceleration, even if the free universe, which includes the poor one, is stable in its size. Could this remove dark energi from the equations?
Playing with the idea, I think it is very human to find patterns. One pattern is that I try to understand how 9 dimensions become 3. I read that the proton has 3 quarks, and then it becomes easy to see the connection that 9 = 3 * 3. I want to say that I count on 9 dimensions. When it is said that there are 10 dimensions but time is one, 9 are dimensions we can move in. Newer research says there are 11 dimensions including time, but I continue to count with 9.
Let's play with the idea that protons and neutrons build our 3-dimensional world with the help of quarks. It could be any particle, but for now I will use proton and neutron. They connect the fabric of the universe and thus pull the fabric towards themselves. When 9 dimensions become 3, a knot or tangle is created, one might say. This stretching and bending of the universe's fabric become more and more evident the larger the amount of protons and neutrons are clustered together. We call it gravity, but it is really just a curvature of spacetime. With the dimensions tied together, a path or rail is formed, as I try to describe in the example above where individuals perceive the world as one dimension but live on the surface of a 3-dimensional ball.
If it is the proton and neutron that, through quarks, capture 9 dimensions into 3 tied dimensions, then the quarks should be able to bind the dimensions in more than one way. If the dimensions are indeed tied and not invisible, we will be affected by the protons and neutrons that do not belong to our visible world. They have tied the 9 dimensions in a different way. Since they live right next to us and affect the fabric of the universe in the same way as the visible protons and neutrons do. I assume we call the protons and neutrons that we cannot see dark matter. They affect us through gravity. But we do not get closer than that.
How many different worlds can we get if we tie the 9 different dimensions to 3 dimensions? We get (84201)/6=280 different worlds. But measurements of gravity in our universe give us 85% dark matter and 15% visible matter. They would be 5.5 worlds. What is missing is the 10th dimension needed to explain the different forces. If there are 280 different protons that have the same 10th dimension. It means that 140 have a negative dimension. They will thus have the same view as our electrons. Gravity becomes a counterforce. The different protons are divided into two parts: those that have the same gravity and those that have opposite gravity. 140 (worlds/protons) will be grouped, and between these groups, the 140 with opposite gravity will gather. I assume that within our visible galaxies there are 139 other protons that interact with us with gravity and between our visible galaxies there are the other 140 protons that have opposite gravity to us but attraction between them. If our world consists of the orange-colored galaxies that we can see. So there are the dark galaxies between our galaxies that hold our galaxies apart.

Within our visible galaxies, there are protons that have gravity to us but that we cannot see because they travel in a different way than we do.
If you grab a cloth on the table with your hand, you see that the impact on the cloth becomes uneven. One might see that gravity affects the dimensions it ties together in different ways. Some dark matter may not affect us much while other dark matter affects us more. If the cloth hangs flat in space, you see that when the hand ties the cloth together, a hole forms on one side and a peak on the other side. I assume this makes some particles that see the hole fall in, or are drawn to the knot, one might say. While other particles see the peak and slide away if they come too close. It depends on how they have tied themselves up in the fabric of the universe.
My image of how it might look for an electron and for another proton. In the first image, we see how the electron will get stuck in the indentation as close to x as possible. But it will never want to reach the core, i.e., the proton. It prefers to fly out into space. The black horizontal line is the neutral space. Image 2 is the same image but upside down. This view is what the proton sees. First, the protons slide towards each other. Then there is a stop. If you force the protons closer together, they get stuck in C. I think physicists have different names for these different slopes. Gravity is probably A. B is that positive or negative particles do not attract each other. Then C is probably the strong force. When I look closer at this, you understand that the electrons are fighting to reach x. It creates a tangle around the proton. But to understand properly, the electron should also create a small knot that makes the electrons attract each other at longer distances and repel each other at close distances. Then the electrons will help each other into the indentation but also create this tangle as they constantly repel each other. Then I think neutrons are needed for 2 protons to get close enough to each other. The neutron knot helps to remove the high barrier between the two protons. The neutrons will remain in the new core. But are otherwise short-lived.
Electron view

Protonview

After I draw this 2 pictures I found this picture on Wikipedia https://en.wikipedia.org/wiki/Nuclear_force
Not as I thought. Here you can se how the 2 forces interact.
Questions pile up. Are there protons that see our protons the way electrons do? It would then be like reverse gravity. Does some dark matter have reverse gravity? I assume that electrons are not necessarily as numerous as protons, but they try to fill the indentation around X as much as they can. The number of protons makes the indentation larger in such a way that the ratio remains roughly even.
We expand our view further and try to understand the neutron. The proton-view and electron-view are not quite right. Assume that these forces are specific to our 3 dimensions. But gravity is broader and affects between the different dimensional worlds. Could it be that protons do not affect each other through gravity, but neutrons are needed for gravity to arise? All atomic nuclei (except hydrogen) have neutrons. The neutrons are needed to unlock the repelling force between protons. One thought is that neutrons also have repelling forces between them. And that neutrons are semi-dark matter. But the idea falters because there are atomic nuclei with more neutrons than protons. Which would not be possible if neutrons were built like our protons, but put together differently in the cosmic fabric. Then there could not be more neutrons in an atomic nucleus than protons. How, for example, would beta decay work? Or when Carbon-14 is created. Or could it be more than 1 type of neutrons? The neutron decays into a proton, electron, and neutrino. This is also evidence that neutrons are not semi-dark protons. Assuming that the neutrino merges with the electron and neutralizes the electron so that it can approach a proton and merge with it, the result becomes a neutron—a “neutralized proton” that can fuse with another proton.
What happens to the proton when it has become a neutron? Could it have twisted the proton (caused the proton to bend the fabric of the universe in a different way) so that the three-dimensional force now points in another direction?
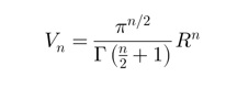
A thought one gets is how big the universe is if we were to see all dimensions. We calculate the universe we see. It is estimated to be a sphere with a radius of 46 billion light-years. We calculate as we did with the individual who lived in 3 dimensions but perceived only one dimension. The equation should be if the free universe is of 11 dimensions and the free universe is round:
Volume of our 3-dimensional universe * PL^8 = volume of the free universe. And the formula for calculating volume on a multidimensional ball is.

Our visible universe is then for 11 dimensions
((4 * pi * (46 * 10^9 * 9.46 * 10^15)^3) / 3) * PL^8 = (128 * pi^5 * r^11) / 10395,
where r = the radius of the free universe and PL is Planck's Length. Solving this equation gives us a radius of our free universe that is incredibly small. 1,096*10^-18 meters. If it is only 9 dimensions the radius of the free universe will be 1.010*10^-14 meters. Still very small. What does this mean? Do not mixup this with ”holographic principle”, it is probably the opposite.
The famous experiment where an electron is shot one at a time and the result is as if the electron is a wave. But if you identify the electron on its way through the opening, we get a result where the electron behaves like a particle. People have wondered how the electron has traveled. The path could only be calculated with probability. But now, with the knowledge that we live in an illusion of 3 dimensions, one should probably look at this experiment in a different way. Instead, assume that it is our world that is swaying and the electron has a straight path. See it as shooting with a rifle on a long boat in a severe storm.

The black lines shows how wide the path is. The path must have short turns. High vibrations.
What would the result be in this experiment? If this scenario were true, we understand that the 3-dimensional path we move on in the rich universe consists of very small and fast oscillations. Our entire world vibrates forward in incredibly small oscillations in the same direction as the freer particles. This makes photons, which probably move in a very free universe, not disappear and reappear here and there. Instead, light appears to travel straight in our 3-dimensional world. And that we can bend its path via modern fibers for the internet i.e. This would be impossible to do with a "prisoner" moving freely in more dimensions than the world the "jailer" lives in, unless their paths are very close to each other. If we have this picture in mind, one can see that it may be the vibrating wear that makes us get a wave motion of photons and electrons. Especially now that we know we can split photons. Then the photon goes through both openings if there are 2.
But now I have also understood that this experiment has been carried out on protons, atoms, and even molecules. All of these should have the same vibrating motion pattern as we have in our 3-dimensional world. Even if they have significantly higher speed, i.e., higher frequency, they should still move in the same way. This may be proof that my thoughts are completely wrong.
But if we assume that protons and neutrons vibrate in 9 dimensions but only 3 of them are visible to us. And that increased energy/speed of these protons makes them more concentrated in the 3 visible dimensions. At very high speeds, they will then approach light's absolutely straight path through the universe. The vibrations in the 6 invisible dimensions have less influence on our path—perhaps both in frequency and amplitude. This means that the space for the fast proton becomes smaller relative to the proton that moves more slowly. Even time should slow down relatively.
If one were to try to illustrate this, one would see in the image how light moves straight in 3 dimensions, while the 2 protons move at different speeds depending on how large the oscillations are in the other 6 dimensions. The distance between point A and point B is not measured by the protons along the path that light takes, but instead, it is measured along their path through the 9 dimensions. We cannot perceive points located in the hidden dimensions outside the path of light, but we perceive the path itself.
If you take a ruler and measure one meter, the ruler will not lie straight on the flat table but will bend forward in 9 dimensions on the table, which also bends in 9 dimensions. If we take the ruler and the table into a spaceship and travel at high speed, we will still measure the table to the same length. However, both the table's and the ruler's protons do not vibrate as much into the 6 hidden dimensions, so they will now become straighter than they were before we increased the speed. Relatively speaking, the the ruler and table appear smaller. For the proton traveling along the blue line, the distance between A and B will appear significantly shorter than for the proton traveling along the red line. Even if they have the same speed in 9 dimensions, the speed in 3 dimensions will be considered significantly higher according to the blue line.
This is not what Einstein meant. These thoughts are more in line with what Newton might have considered, I assume.

There is a TED talk where a young man showing on a very small metal pice for quantum computers that the metal-atoms where swaging back and forth.
https://www.ted.com/talks/aaron_o_connell_making_sense_of_a_visible_quantum_object/transcript
After playing with the idea of how the universe would look with many more dimensions than the 3 we perceive. After the Big Bang, the universe cooled down, and scientists are quite sure that the universe was so cooled down that after 380,000 years protons and neutrons could form. Before that, an incredible inflation occurred. This made the universe grow by a factor of 10^26. My thoughts are whether this inflation occurred just when quarks and protons/neutrons tied the universe to 3 dimensions. And if the entire universe did not cool down directly. Instead, there might still be places in our 11-dimensional universe that are so hot that no particles can form, and the universe cannot be tied to the 3 dimensions we see everywhere. These places should be very small and very black. And the interface between these two completely different worlds would be difficult to understand. If black holes are peep holes down to the real universe, and since we are quite sure that these black holes are spread across the entire universe, the cooling of these black holes should make the universe grow. This does not mean that the 11-dimensional universe is growing. Instead, it is our 3-dimensional universe that is expanding.
https://www.youtube.com/watch?v=2tPExMBsj4U
I have difficulty understanding time. I have mentioned this several times, and I don't like time. I have picked up these things: If you travel at the speed of light, time stands still. Gravity makes time go slower.
A picture forms in my head. We draw a horizontal line, and to the left, we have the speed of light, black holes. That is, no time, just "Space." Then, all the way to the right on the scale, we have 0 in speed and 0 in gravity and only time. Or perhaps all time (forever). What is meant by 0 in speed and 0 in gravity? If we start from the previous text, we get this state if we don't have hidden dimensions. As soon as we enter a poor universe, "Space" and gravity are created. Which in turn are the two factors that affect time. And then we get movement. Is it protons that do all this? That is, create "Space" in our universe. Our universe should also have expanded enormously when these protons were created. My conclusion is that "Space" is an illusion, but gravity, the curvature of the fabric of the universe, is something that now exists even in the free universe. Which means that time exists, I must unfortunately admit, but it is perhaps more a state than a dimension one can travel in.